Межрегиональное объединение избирателей

Титульный лист

Последние новости
ТЕКУЩИЙ АРХИВ МОИ
Законы о выборахСсылки, которые мы читаем

Rambler's Top100

«Видеонаблюдение в помещениях для голосования и помещениях ТИК организуется для обеспечения дополнительных гарантий открытости и гласности …»

Из Постановления ЦИК РФ №116/943-7 от 20.12.2017 г.  «О Порядке применения средств видеонаблюдения и трансляции изображения, трансляции изображения в сети Интернет, а также хранения соответствующих видеозаписей на выборах Президента Российской Федерации 18 марта 2018 года»

 Вы хотели видео? Получите!

Предыстория

Итак, в преддверии годовщины выборов Президента России мы можем подвести итоги грандиозной операции по расширению открытости и гласности работы избирательных комиссий с помощью использования видеокамер на избирательных участках. О видеонаблюдении организаторы и апологеты наших выборов говорят много и с гордостью. У этой гордости есть основания: страны, в которых используется видеонаблюдение на выборах можно пересчитать по пальцам. Правда, у меня сложилось впечатление, что видеонаблюдение особенно полезно именно для нашей страны. Ну, может еще для некоторых стран, где оно в ближайшее время точно не будет использоваться.

Видеонаблюдение – дело недешевое. Первый опыт в 2012 году обошелся казне в 13 миллиардов рублей, если не считать 12-ти миллиардов, якобы затраченных «публичной акционерной кампанией Ростелеком». По официальным данным видеокамерами на выборах Президента в 2012 году было оснащено около 90 тысяч избирательных участков. Результаты (большое количество видеозаписей, зафиксировавших фальсификации) несколько ошеломили лиц, принимавших решение, после чего в течение четырех лет видеонаблюдение было в опале; видеокамеры были демонтированы и лежали на складах Ростелекома. С приходом в ЦИК Э.А.Памфиловой ситуация поменялась к лучшему: видеокамеры применялись на многих избирательных участках в единый день голосования в 2016 и 2017 года, а также примерно на 45 тысячах избирательных участках на выборах президента в 2018 году. Затраты на видеокамеры на выборах Президента составили по официальным данным около 3 миллиардов рублей.

Усилия Эллы Александровны, которая, похоже, также, как и Владимир Евгеньевич, беззаветно верит в то, что у нас есть выборы, были скомпенсированы другими организаторами выборов. Порядок использования видеозаписей, который принимается Центральной избирательной комиссией Российской Федерации, несколько усложнил доступ граждан к видеозаписям. Учитывая «вакханалию», устроенную «непатриотичными» гражданами с видеозаписями 2012 года, ЦИК постановил выдавать записи с избирательного участка не всем подряд гражданам, а только тем, кто на этом участке голосовал. А кроме того, для получения записи надо еще убедить региональную избирательную комиссию в том, что запись подтвердит нарушение прав заявителя.

Понятно, что убедить комиссию в ее же недостатках не так просто, поэтому отказов было довольно много. Предсказать такое поведение нашей избирательной системы было очень легко. Поэтому энтузиасты (это такие негосударственные Граждане, которые еще не разуверились, что Конституция – высший закон страны) взяли, да и скопировали видеотрансляции, которые проводились онлайн в день голосования. Все, конечно, скопировать не удалось, но записи из примерно 8 тысяч участковых комиссий из регионов, ранее замеченных в склонности к искажению итогов голосования, были сделаны и предоставлены желающим для просмотра.

То есть, граждане опять сделали то, что должно было сделать государство, обеспечивающее себя налогами, собираемыми с граждан.

Просмотром видеозаписей занимались разные группы волонтеров. Пожалуй, наибольший вклад в это дело внесла группа, которой руководил Азат Габдульвалеев из Казани. Он действовал совместно с движением «Голос», объявившем о проекте просмотра видеозаписей «УИКДОКФЕСТ». Большой вклад также внесли волонтеры, организованные Татьяной Юрасовой и Виктором Кабановым.

Просмотр, проводившийся этими группами, проводился по единой методике, которая предусматривала фиксацию двух показателей:

- примерный подсчет избирателей, опускавших бюллетени в стационарные избирательные ящики в помещениях для голосования (приблизительный подсчет явки) и

- оценку выполнения предусмотренных законом процедур подсчета голосов.

О последствиях

Пора подвести итоги этой большой работы. Просмотрены и проанализированы видеозаписи из 316-ти участковых избирательных комиссий. (Записей, конечно просмотрено больше, но часть из них оказались непригодными для анализа: камеры смотрели в потолок или чем-нибудь были загорожены, не видны были избирательные ящики и т.д.).

Итоги неутешительны: говоря в двух словах, примерно в половине просмотренных комиссий реальная явка завышена более чем на 20%, а процедуры подсчета полностью выполнялись лишь в 11% участковых комиссий. Сразу стоит предупредить: это – совсем не представительная выборка, это цифры как раз по тем регионам, которые подозревались в фальсификациях!

 Тем не менее, эти цифры свидетельствуют о наличии массовых фальсификаций в Дагестане, Карачаево-Черкессии, Кабардино-Балкарии, Чечне, Кемеровской области и Краснодарском крае, а также о том, что процедуры подсчета в подавляющем большинстве комиссий НЕ ВЫПОЛНЯЮТСЯ.

Предварительные результаты проекта УИКДОКФЕСТ (по 233-м участковым комиссиям) были опубликованы «Голосом» 17 июля 2018 года (https://www.golosinfo.org/ru/articles/142771). Они произвели – как бы помягче выразиться – удручающие впечатление на заместителя председателя ЦИК РФ Н.И.Булаева. Он обиделся и даже призвал региональные комиссии подавать в суды за клевету. Но ни он сам, ни региональные комиссии почему-то не последовали этому совету, хотя, без сомнения, наши суды могли бы запросто им помочь.

Публикация имела побочный эффект. Вероятно, чтобы убедиться в том, что волонтеры просматривали записи, сделанные именно на участках, а не на конспиративной квартире, мне и группе волонтеров была предоставлена возможность посмотреть записи из нескольких комиссий прямо в хранилище ЦИК РФ. В просмотре записей из 12-ти участковых комиссий Кемеровской области, произведенном прямо в ЦИК РФ, участвовали, кроме меня, Юрий Гурман, Татьяна Юрасова, Азат Габдульвалеев. Результат оказался еще печальнее.

Во-первых, Юра Гурман обнаружил многократный вброс бюллетеней на избирательном участке №224 Кемеровской области. Во-вторых, ни в одной из 12-ти комиссий не выполнялись правила подсчета голосов. Что и было изложено в аналитической записке, которая окончательно удручила ЦИК РФ. Конечно, не настолько, чтобы привлечь к ответственности нарушителей, но настолько, чтобы заявить о недобросовестной работе исследователей видеозаписей.

Прежде, чем представить окончательные результаты исследования, скажем несколько слов о «сомнениях» в возможности подсчета явки по видеозаписям. Никто не утверждает, что явку надо считать по видеозаписи, а не по списку избирателей. Но разговоры про то, что явку нельзя приблизительно оценить по видеозаписи, если на ней достаточно хорошо видны стационарные избирательные ящики, являются демагогией. Во многих комиссиях оценка явки по видеозаписям практически совпала с официальными данными (см. Таблицу 6)! А недавно подтверждение пришло из Армении: Азат Габдульвалеев подсчитал явку на одном из армянских участков на выборах в парламент и получил оценку, отличающуюся от официальной явки, лишь на одного избирателя.   

И если оценка отличается от официальных данных на сотни человек, то это явный сигнал к тому, чтобы провести расследование, а не к тому, чтобы начинать отмазывать своих коллег. И это расследование вполне могли бы реализовать грамотные и нацеленные на честные выборы организаторы выборов.

Результаты

Всего к настоящему времени исследовано 316 участковых избирательных комиссий из 22-х субъектов Федерации. Самое большое число комиссий – 150 - исследовано в Кемеровской области. В 7 субъектах Федерации исследовано по одной комиссии, в Москве – 2, в Псковской области – 3; естественно, делать какие-либо обобщения по этим 9 регионам не следует.

В таблице 1 показано число исследованных участковых комиссий по субъектам Федерации, а также доля комиссий, в которых выполнялась та или иная предписанная законом процедура.

Таблица 2 содержит перечисление 36-ти избирательных комиссий, у которых расхождение с официальной явкой превысило 50%.

Комиссии расположены в порядке уменьшения разницы между официальной явкой и подсчитанной по видеозаписи (реальная явка). Реальная явка вычислялась путем вычитания из официального числа проголосовавших избирателей разницы между строкой 8 протокола (числа бюллетеней, обнаруженных в стационарных ящиках) и числом проголосовавших избирателей, подсчитанных по видеозаписи, и дальнейшего деления на общее число избирателей. В третьем столбце таблицы указано число избирателей, опустивших бюллетень в стационарный избирательный ящик (волонтеры старались учитывать случаи, когда один родственник опускал бюллетень и за себя, и за другого родственника). В последнем столбце указано частное от деления официальной явки, выраженной в процентах, на подсчитанную оценку явки.  

Следующие три таблицы (Таблицы 3-5) содержат список комиссий с отклонением от официальной явки на 50-20%, а Таблица 6 содержит список комиссий, у которых отклонение подсчитанной явки от официальной оказалось минимальным.

Резюме

Видеозаписи, произведенные на избирательных участках при голосовании и подсчете голосов, действительно предоставляют замечательные возможности для изучения наших выборов и их совершенствования. Было бы на это желание у тех, кто наши выборы организует!

Таблица 1. Число исследованных УИК и исполнение процедур подсчета голосов

Таблица 2. Комиссии, у которых расхождение с официальной явкой составило более 50%

Таблица 3. Комиссии, у которых расхождение с официальной явкой составило от 30% до 50%


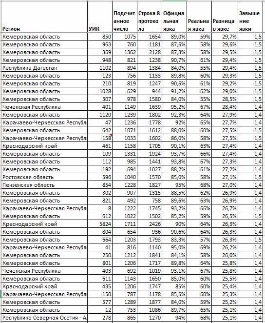
Таблица 4. Комиссии, у которых расхождение с официальной явкой составило от 25% до 30%


Таблица 5. Комиссии, у которых расхождение с официальной явкой составило от 20% до 25%


Таблица 6. 40 комиссий с наименьшим расхождением официальной и реальной явки

Титульный лист | Что нового? | Текущий архив | Заседания МГИК | Законы о выборах | Ссылки | О нас | Часто задаваемые вопросы | Устав МОИ | Учредители МОИ | Аналитические заметки | Методика контроля | Гостевая книга | Почтовый ящик МОИ

This document maintained by lahta-m@votas.ru
Material Copyright © 2001
Вячеслав Румянцев